逆関数
関数(教科書範囲) ★★
逆関数と関連問題を扱います.
逆関数
例えば関数 $y=2x+1$ は $x=\dfrac{1}{2}y-\dfrac{1}{2}$ と変形すると,$x$ は $y$ の関数であるとみなすことができます.ただしこのままでは変形しただけでグラフとしては何も変わっていないので,$x$ と $y$ を入れ替えてみます.ここで
$y=2x+1$ と $y=\dfrac{1}{2}x-\dfrac{1}{2}$
は逆関数の関係であるということにします.
逆関数
関数 $y=f(x)$ で,$x$ と $y$ が1対1対応(値域の中の任意の $y$ に対して,定義域の中の $x$ が1つだけ対応)であるとき,$y=f(x)$ の $x$ と $y$ を入れ替えて,$y$ について解いた関数を逆関数といい
$\boldsymbol{y=f^{-1}(x)}$
で表す.
※ 1対1対応は当サイトの便宜的な呼称です.
※ $x$ と $y$ を入れ替えたら逆関数になります.その後,必ずしも $y$ について解けるとは限りません.
全単射
全単射
大学以降では,数列や関数をより一般化するために写像という概念を用います.
そこでは $x$ と $y$ が1対1対応であるとは,関数 $y=f(x)$ が全単射であるというきちんとした表現を用います.つまり全単射であることが逆関数をもつ条件になりますので,以下に全単射である例を紹介します.
・$f:\mathbb{R} \to \mathbb{R}$,$f(x)=2x+1$
・$f:\mathbb{R} \to (0,\infty)$,$f(x)=2^x$
・$f:[0,\infty) \to [0,\infty)$,$f(x)=x^2$
例
・ $f(x)=2x+1$ のとき,$f^{-1}(x)=\dfrac{1}{2}x-\dfrac{1}{2}$
・ $f(x)=x$ のとき,$f^{-1}(x)=x$
・ $f(x)=x^{3}$ のとき,$f^{-1}(x)=\sqrt[3]{x}$
制限すると逆関数をもつ関数
どんな関数でも逆関数をもつわけではなく,逆関数をもつには上で言及した $x$ と $y$ が1対1対応である必要があります.
例えば,$y=x^{2}$ で $y=4$ のとき,$x=\pm2$ となり,$1$ つの $y$ に対して $x$ が $2$ つ対応してしまいます.つまり普通の $y=x^{2}$ は逆関数をもちません.
しかし,$y=x^{2}$ $(x\geqq0)$ と定義域を制限すると,$1$ つの $y$ に対して $x$ が $1$ つ対応するので(1対1対応なので)逆関数をもちます.
多くの関数が定義域を制限すると逆関数をもちますが,以下はその例です.
定義域を制限すると逆関数をもつ関数の例
・ $f(x)=x^{2}$ $(x\geqq0)$ のとき,$f^{-1}(x)=\sqrt{x}$
・ $f(x)=\sin x$ $\left(-\dfrac{\pi}{2}\leqq x\leqq\dfrac{\pi}{2}\right)$ のとき,$f^{-1}(x)=\arcsin x$ $(-1\leqq x\leqq 1)$
※ 下の例は逆三角関数といって大学1年の微積分で紹介があると思います.$f^{-1}(x)=\sin^{-1} x$ $(-1\leqq x\leqq 1)$ と表すこともあります.高校範囲では逆三角関数を直接表現しませんが,これらの微分や積分は大学入試等で問われます.
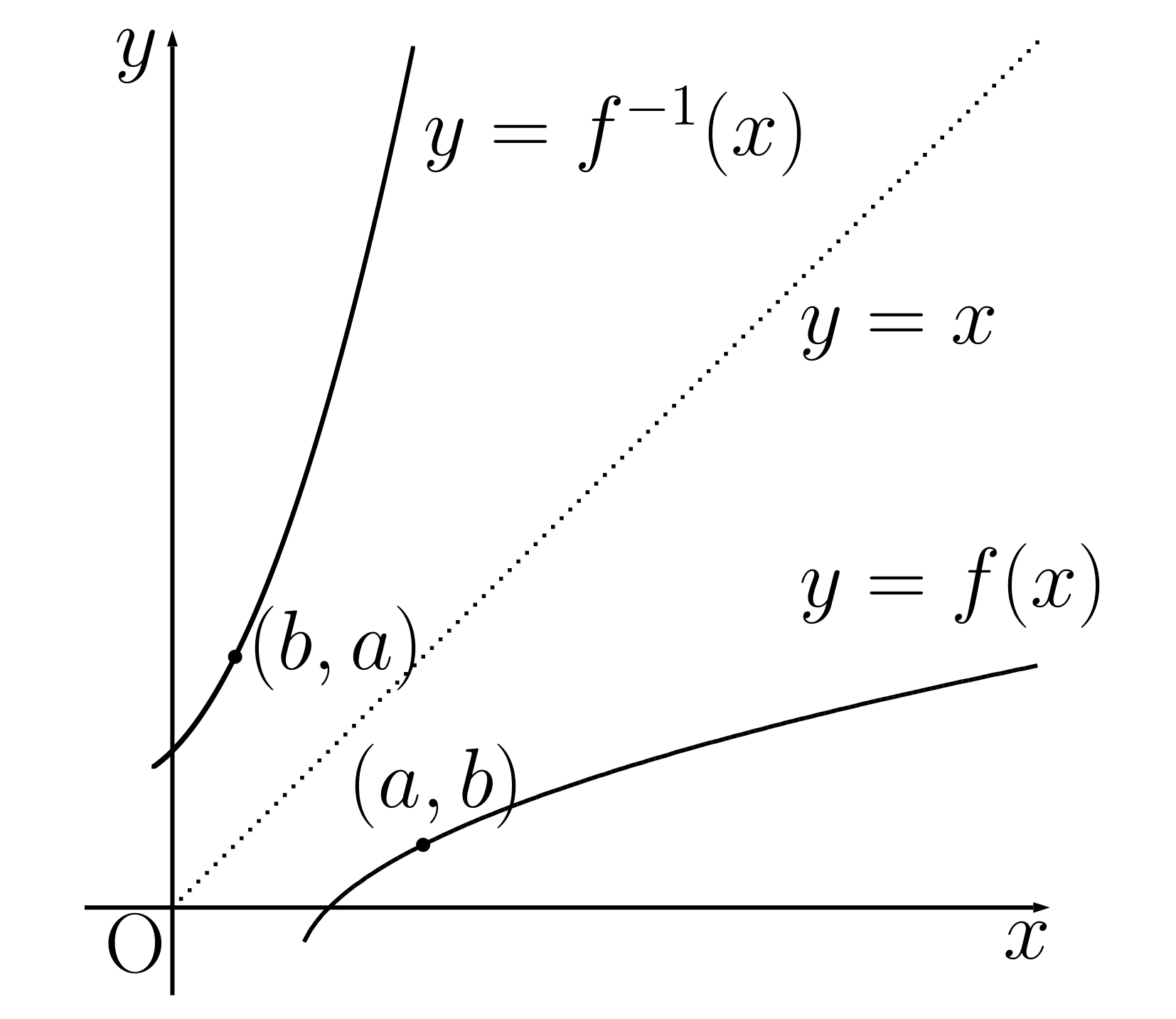
逆関数の性質
逆関数の性質
関数 $y=f(x)$ と $y=f^{-1}(x)$ は 直線 $\boldsymbol{y=x}$ に関して対称.
証明
$b=f(a) \ \Longleftrightarrow \ a=f^{-1}(b)$
が成り立つので,関数 $y=f(x)$ 上の $(a,b)$ があるとき,関数 $y=f^{-1}(x)$ 上に $(b,a)$ がある.ここで,$(a,b)$ と $(b,a)$ は直線 $y=x$ に関して対称なので,関数 $y=f(x)$ と $y=f^{-1}(x)$ は直線 $y=x$ に関して対称.
例えばある関数とその逆関数が交わる問題では,逆関数ではなく $y=x$ との共有点を考えると問題が楽に解けることが多いです.
例題と練習問題
例題
例題
次の関数の逆関数を求めよ.
(1) $y=3x-1$
(2) $y=\sqrt{2x}+1$
(3) $y=2^{x}$
講義
逆関数を求める手順は以下の通りです.
STEP1:$x$ と $y$ を入れ替える(定義域と値域も).
STEP2:$y$ について解く.
解答
(1)
$x=3y-1$ を変形して $\boldsymbol{y=\dfrac{1}{3}x+\dfrac{1}{3}}$
(2)
$y=\sqrt{2x}+1$ ( $x\geqq0$,$y\geqq1$) の逆関数は $x=\sqrt{2y}+1$ ( $y\geqq0$,$x\geqq1$ )より,さらに変形して
$\sqrt{2y}=x-1$ $(x\geqq1)$
両辺 $2$ 乗して整理すると
$\boldsymbol{y=\dfrac{1}{2}(x-1)^{2}}$ $\boldsymbol{(x\geqq1)}$
※ 最初に定義域と値域を両方チェックします.最初の関数の値域が逆関数の定義域になるので必ずチェックが必要です.
(3)
$y=2^x$ $(y>0)$ の逆関数は $x=2^{y}$ $(x>0)$ より,さらに変形して
$\boldsymbol{y=\log_{2}x}$
※ 定義域を書かなくても真数条件から定義域は $x>0$ となります.
練習問題
練習1
次の関数の逆関数を求めよ.
(1) $y=\dfrac{2x+5}{x+2}$
(2) $y=\left(\dfrac{1}{2}\right)^{x}+1$ $(x\geqq0)$
練習2
座標平面上の $2$ つの曲線,$C_{1}:y=ax^{2}+1$,$C_{2}:x=ay^{2}+1$ ( $a$ は正の定数)を考える.
(1) $2$ つの曲線 $C_{1}$,$C_{2}$ が $2$ 点で交わるような正の定数 $a$ の値の範囲を求めよ.
(2) $a=\dfrac{3}{16}$ のとき,曲線 $C_{1}$ と曲線 $C_{2}$ とで囲まれた図形の面積を $S$ を求めよ.
練習1の解答
(1)
$y=\dfrac{2x+5}{x+2}=\dfrac{1}{x+2}+2$ $(y\neq2)$ の逆関数は $x=\dfrac{2y+5}{y+2}$ $(x\neq2)$ より,さらに変形して
$(y+2)x=2y+5$
$\Longleftrightarrow \ (x-2)y=-2x+5$
$x\neq2$ より
$\boldsymbol{y=\dfrac{-2x+5}{x-2}}$
(2)
$y=\left(\dfrac{1}{2}\right)^{x}+1$ $(x\geqq0,1<y\leqq2)$ の逆関数は $x=\left(\dfrac{1}{2}\right)^{y}+1$ $(y\geqq0,1<x\leqq2)$ より,さらに変形して
$\left(\dfrac{1}{2}\right)^{y}=x-1$ $(1<x\leqq2)$
$\therefore \ \boldsymbol{y=\log_{\frac{1}{2}}(x-1)}$ $\boldsymbol{(1<x\leqq2)}$
練習2の解答 出典:2014東京医科大
(1)
$C_{1}$,$C_{2}$ は交わるなら $y=x$ 上で交わる( $x\geqq0$,$y\geqq0$ なら逆関数の関係にある)ので,$y=x$ と2点で交わる条件を考える.
$ax^{2}+1=x$
$\Longleftrightarrow \ ax^{2}-x+1=0$
判別式 $D=1-4a>0$ より $\boldsymbol{a<\dfrac{1}{4}}$
(2)
$a=\dfrac{3}{16}$ のとき,$C_{1}$ と $y=x$ で囲まれた部分を $2$ 倍すればいい.$C_{1}$ と $y=x$ の交点は
$\dfrac{3}{16}x^{2}-x+1=0$
$\Longleftrightarrow \ (3x-4)(x-4)=0$
$\therefore \ x=\dfrac{4}{3}$,$4$
以上より
$S$
$\displaystyle =2\int_{\frac{4}{3}}^{4}\left\{x-\left(\dfrac{3}{16}x^{2}+1\right)\right\}\,dx$
$\displaystyle =2\int_{\frac{4}{3}}^{4}\left\{-\dfrac{3}{16}\left(x-\dfrac{4}{3}\right)(x-4)\right\}\,dx$
$\displaystyle =-\dfrac{3}{8}\int_{\frac{4}{3}}^{4}\left(x-\dfrac{4}{3}\right)(x-4)\,dx$
$\displaystyle =-\dfrac{3}{8}\left\{-\dfrac{1}{6}\left(4-\dfrac{4}{3}\right)^{3}\right\}$ ←$\dfrac{1}{6}$ 公式
$=\boldsymbol{\dfrac{32}{27}}$
