近似式
微分(数学Ⅲ)(教科書範囲) ★★★
近似式について扱います.
問題は1次近似が中心ですが,2次近似も扱います.
近似式
大学で数学科に行くと厳密で正確であることが重要視されることが多いですが,工学の世界や,数学を使って何か応用をする上では,無理して正確な値でなくても(近似値で)いいことが多々あります.
難しい関数は,簡単な1次関数でもし近似できたら嬉しいです.
1次近似
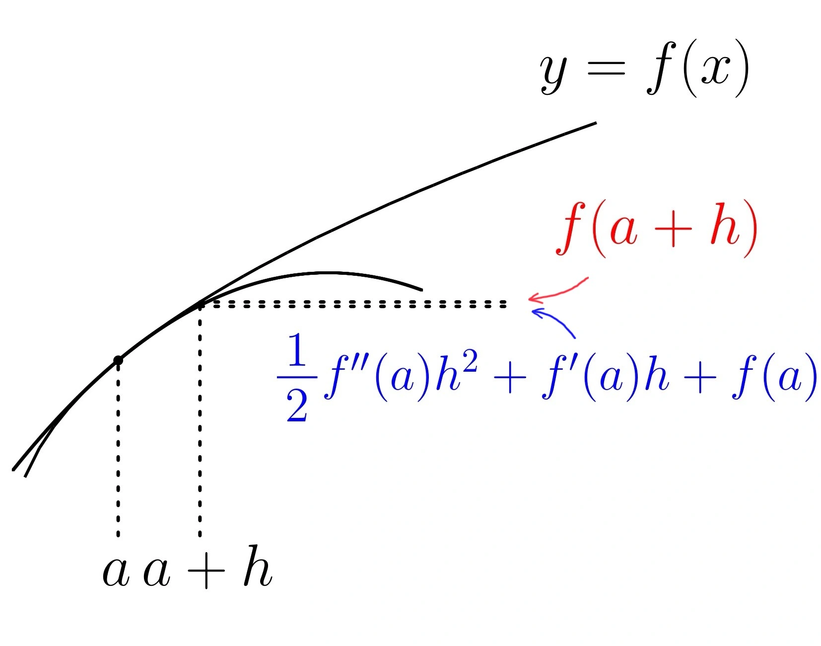
下の図のように,$f(a+h)$ の値を求めたいとします.ここでは $f(x)$ が多項式関数ではなく,無理関数や三角関数等,算出するのが難しい関数が対象です.
そこで $x=a$ で接線を使います.$\boldsymbol{|h|}$ が十分小さければ,接線上の $\boldsymbol{x=a+h}$ の $\boldsymbol{y}$ 座標で $\boldsymbol{f(a+h)}$ を近似することが考えられます.
$y=f(x)$ の $x=a$ 付近でミクロなスコープで見たときに,$y=f(x)$ と $x=a$ での接線はほとんど等しいと考えると見做せます.つまり $|h|$ が十分小さいとき
$\color{red}{f(a+h)} \fallingdotseq \color{blue}{f'(a)h+f(a)}$
とすることができ,この式を1次の近似式といいます.右辺の値はただの接線(1次関数)から算出するだけなので簡単です.
1次の近似式
$y=f(x)$ が微分可能で,$|h|$ が十分小さいとき,1次の近似式は
$\boldsymbol{f(a+h)\fallingdotseq f'(a)h+f(a)}$
※ 忘れたときのために,上の接線の図から導けるのが理想です.
※ 十分小さいという目安は客観的な指標があるわけではないので困ってしまいますが,高校数学では出題者側が意図的にわかりやすく出題してくれることがほとんどです.
2次の近似式
直線で近似するよりも曲線,2次関数で近似した方が直線で近似するよりも良さそうと思うのが必然です.
関数 $y=f(x)$ を $x=a$ の付近で2次関数 $y=g(x)$ で近似したいとします.$y=g(x)$ は2次関数なので $y=f(x)$ の2階微分までの情報を取り込めます.
$f(a)=g(a)$
$f'(a)=g'(a)$
$f''(a)=g''(a)$
このすべてを満足するのが以下の2次関数です.
$g(x)=\dfrac{1}{2}f''(a)(x-a)^{2}+f'(a)(x-a)+f(a)$
1次近似の場合と同様に,$f(a+h)$ の値を $g(a+h)$ の値で近似できます.
2次の近似式
$y=f(x)$ が2階微分可能で,$|h|$ が十分小さいとき,2次の近似式は
$\boldsymbol{f(a+h)\fallingdotseq \dfrac{1}{2}f''(a)h^{2}+f'(a)h+f(a)}$
テーラー展開
必然的に,3次,4次と次数を上げていけばいい近似ができそうです.
高校では2次どころか1次がメインですが,これらは大学の微積分で学ぶテーラー展開に繋がります.
例題と練習問題
例題
例題
$\sqrt{1.01}$ について,それぞれの近似式で近似値を求めよ(特に四捨五入はしなくてよい).
(1) 1次
(2) 2次
講義
1次の近似式
$\boldsymbol{f(a+h)\fallingdotseq f'(a)h+f(a)}$
2次の近似式
$\boldsymbol{f(a+h)\fallingdotseq \dfrac{1}{2}f''(a)h^{2}+f'(a)h+f(a)}$
この例題の場合 $f(x)=\sqrt{x}$,$a=1$,$h=0.01$ です.
解答
(1)
$f'(x)=\dfrac{1}{2\sqrt{x}}$ より
$\sqrt{1.01}=f(1.01)\fallingdotseq \dfrac{1}{2}\cdot 0.01+1=\boldsymbol{1.005}$
(2)
$f''(x)=-\dfrac{1}{4x\sqrt{x}}$ より
$\sqrt{1.01}=f(1.01)\fallingdotseq -\dfrac{1}{4}\cdot 0.01^{2}+1.005=\boldsymbol{1.0049975}$
※ iPhoneの(Appleの)電卓アプリで計算すると $1.004987562$ と表示されます.平方根の値を求める手法としてNewton法,二分法,テーラー展開などいくつか手法があるようです.
練習問題
練習
次の値の近似値を,1次の近似式で小数第4位を四捨五入して小数第3位までそれぞれ求めよ.必要なら $\sqrt{3}=1.732$,$\pi=3.14$ を用いてよい.
(1) $\sqrt{17}$
(2) $\cos 59^{\circ}$
(3) $\tan 43.5^{\circ}$
練習の解答
$|h|$ が十分小さいとき,1次の近似式は
$f(a+h)\fallingdotseq f'(a)h+f(a)$
となる.
(1)
$f(x)=\sqrt{x}$ として,$f'(x)=\dfrac{1}{2\sqrt{x}}$ より
$\sqrt{17}$
$=\sqrt{16+1}$
$=4\sqrt{1+\dfrac{1}{16}}$
$=4f\left(1+\dfrac{1}{16}\right)$
$\fallingdotseq4\left\{f'(1)\dfrac{1}{16}+f(1)\right\}$
$=4\left(\dfrac{1}{2}\cdot\dfrac{1}{16}+1\right)$
$=\dfrac{33}{8}$
$=\boldsymbol{4.125}$
※ iPhoneの(Appleの)電卓アプリで計算すると $4.123105626$ と表示されます.
(2)
$f(x)=\cos{x}$ として,$f'(x)=-\sin x$ より
$\cos 59^{\circ}$
$=\cos \left(\dfrac{\pi}{3}-\dfrac{\pi}{180}\right)$
$=f\left(\dfrac{\pi}{3}-\dfrac{\pi}{180}\right)$
$\fallingdotseq f'\left(\dfrac{\pi}{3}\right)\left(-\dfrac{\pi}{180}\right)+f\left(\dfrac{\pi}{3}\right)$
$=-\dfrac{\sqrt{3}\pi}{360}+\dfrac{1}{2}$
$=\dfrac{5.43848}{360}+0.5$
$\fallingdotseq\boldsymbol{0.515}$
※ iPhoneの(Appleの)電卓アプリで計算すると $0.51503807491$ と表示されます.
(3) 出典:2025上智大理工
$f(x)=\tan{x}$ として,$f'(x)=\dfrac{1}{\cos^{2}x}$ より
$\tan 43.5^{\circ}$
$=\tan \left(\dfrac{\pi}{4}-\dfrac{\pi}{120}\right)$
$=f\left(\dfrac{\pi}{4}-\dfrac{\pi}{120}\right)$
$\fallingdotseq f'\left(\dfrac{\pi}{4}\right)\left(-\dfrac{\pi}{120}\right)+f\left(\dfrac{\pi}{4}\right)$
$=-\dfrac{\pi}{60}+1$
$=-\dfrac{3.14}{60}+1$
$\fallingdotseq\boldsymbol{0.948}$
※ 2025上智大理工の試験のときは小数第2位まで答える問題でした.
※ iPhoneの(Appleの)電卓アプリで計算すると $0.94896456671488$ と表示されます.
